728x90
728x90

[2023년][공무원 봉급표] 고위공무원 신규채용 시 기준급 자율책정 범위

728x90
728x90

[2023년][공무원 봉급표] 고위공무원의 기준급 한계액

728x90
728x90

[2023년][공무원 봉급표] 외무공무원의 상위 직무등급 임용 시 가산액

728x90
728x90

[2023년][공무원 봉급표] 외무공무원의 직무등급별 연봉한계액표

728x90
728x90

[2023년][공무원 봉급표] 성과급적 연봉제 적용대상 공무원의 연봉한계액표

728x90
728x90

[2023년][공무원 봉급표] 고정급적 연봉제 적용대상 공무원의 연봉표

728x90
728x90

[2023년][공무원 봉급표] 한시임기제공무원의 봉급액 기준표

728x90
728x90

[2023년][공무원 봉급표] 공무원의 초임호봉표

728x90
728x90

[2023년][공무원 봉급표] 헌법연구관ㆍ헌법연구관보의 봉급표

728x90
728x90

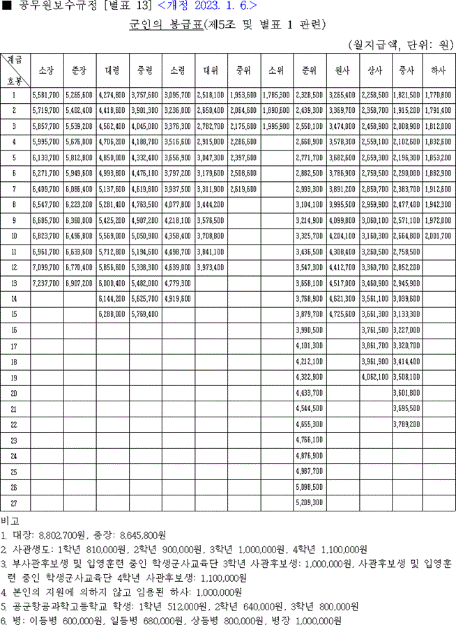
[2023년][공무원 봉급표] 군인의 봉급표

728x90
728x90
123

+ Recent posts