728x90
[2023년][공무원 봉급표] 헌법연구관ㆍ헌법연구관보의 봉급표

728x90
'공무직, 공무원, 봉급표, 급여표, 연봉' 카테고리의 다른 글
| [2023년][공무원 봉급표] 한시임기제공무원의 봉급액 기준표 (0) | 2023.01.13 |
|---|---|
| [2023년][공무원 봉급표] 공무원의 초임호봉표 (0) | 2023.01.13 |
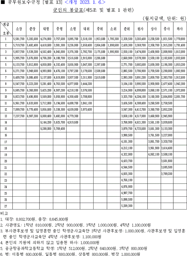
| [2023년][공무원 봉급표] 군인의 봉급표 (0) | 2023.01.13 |
| [2023년][공무원 봉급표] 국립대학 교원 등의 봉급표 (0) | 2023.01.13 |
| [2023년][공무원 봉급표] 유치원ㆍ초등학교ㆍ중학교ㆍ고등학교 교원 등의 봉급표 (0) | 2023.01.13 |

