728x90
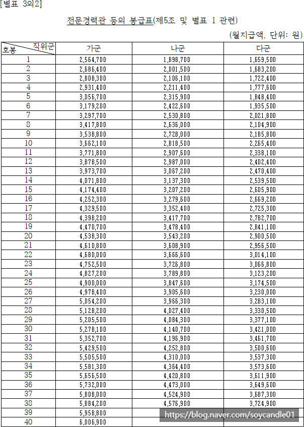
[2021년][공무원 봉급표] 경찰공무원·소방공무원 및 의무경찰 등의 봉급표

728x90
'공무직, 공무원, 봉급표, 급여표, 연봉' 카테고리의 다른 글
| [2021년][공무원 봉급표] 연구직공무원 및 국가정보원 전문관의 봉급표 (0) | 2021.04.24 |
|---|---|
| [2021년][공무원 봉급표] 공안업무 등에 종사하는 공무원의 봉급표 (0) | 2021.04.24 |
| [2021년][공무원 봉급표] 일반직공무원과 일반직에 준하는 특정직 및 별정직 공무원 등의 봉급표 (0) | 2021.04.24 |
| [공무원 봉급표] 2020년도 공무직 통상임금표 (0) | 2021.04.24 |
| [공무원 봉급표] 2019년 서울시 공무직 급여표 (0) | 2021.04.24 |


