728x90
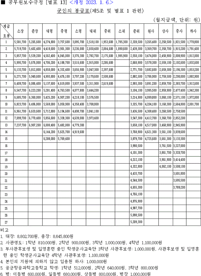
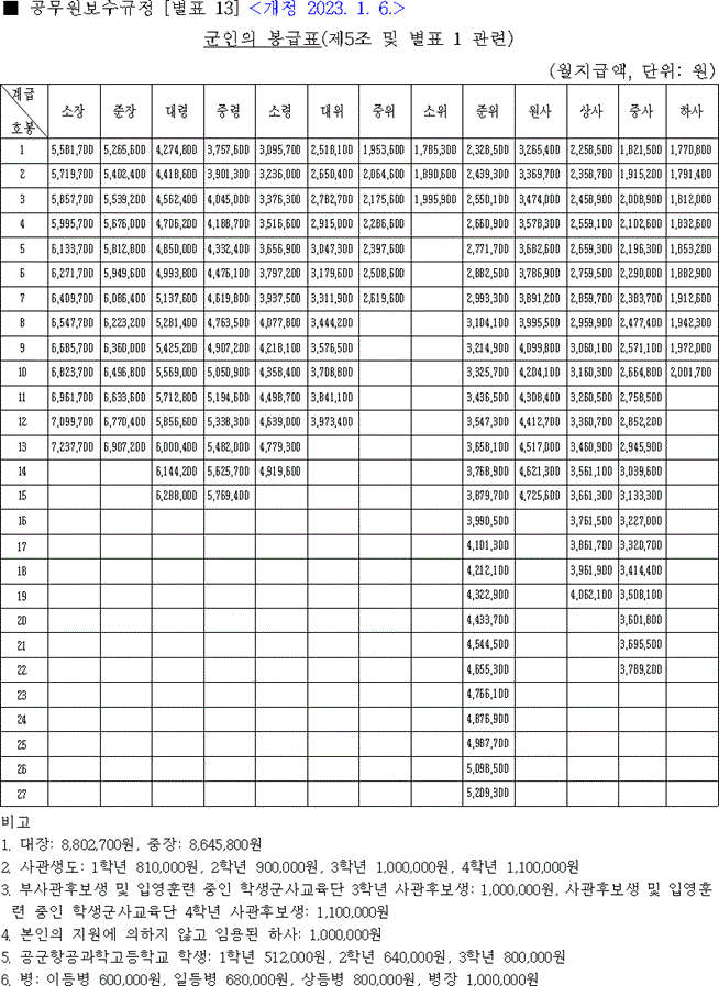
[2023년][공무원 봉급표] 외무공무원의 상위 직무등급 임용 시 가산액

728x90
'공무직, 공무원, 봉급표, 급여표, 연봉' 카테고리의 다른 글
| [2023년][공무원 봉급표] 고위공무원 신규채용 시 기준급 자율책정 범위 (0) | 2023.01.13 |
|---|---|
| [2023년][공무원 봉급표] 고위공무원의 기준급 한계액 (0) | 2023.01.13 |
| [2023년][공무원 봉급표] 외무공무원의 직무등급별 연봉한계액표 (0) | 2023.01.13 |
| [2023년][공무원 봉급표] 성과급적 연봉제 적용대상 공무원의 연봉한계액표 (0) | 2023.01.13 |
| [2023년][공무원 봉급표] 고정급적 연봉제 적용대상 공무원의 연봉표 (0) | 2023.01.13 |














