728x90
[2021년][공무원 봉급표] 고정급적 연봉제 적용대상 공무원의 연봉표

728x90
'공무직, 공무원, 봉급표, 급여표, 연봉' 카테고리의 다른 글
| [2021년][공무원 봉급표] 외무공무원의 상위 직무등급 임용 시 가산액 (0) | 2021.04.24 |
|---|---|
| [2021년][공무원 봉급표] 성과급적 연봉제 적용대상 공무원의 연봉한계액표 (0) | 2021.04.24 |
| [2021년][공무원 봉급표] 한시임기제공무원의 봉급액 기준표 (0) | 2021.04.24 |
| [2021년][공무원 봉급표] 헌법연구관·헌법연구관보의 봉급표 (0) | 2021.04.24 |
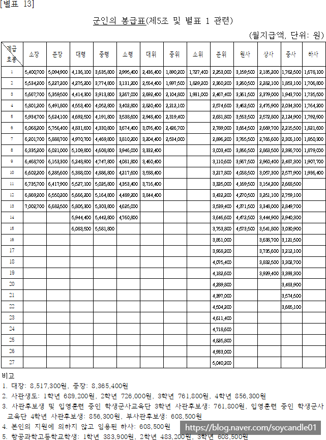
| [2021년][공무원 봉급표] 군인의 봉급표 (0) | 2021.04.24 |








