728x90
[2023년][공무원 봉급표] 공안업무 등에 종사하는 공무원의 봉급표

728x90
'공무직, 공무원, 봉급표, 급여표, 연봉' 카테고리의 다른 글
| [2023년][공무원 봉급표] 일반직 우정직군 공무원의 봉급표 (0) | 2023.01.13 |
|---|---|
| [2023년][공무원 봉급표] 연구직공무원 및 국가정보원 전문관의 봉급표 (0) | 2023.01.13 |
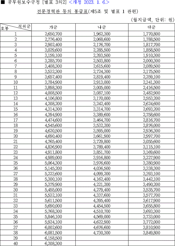
| [2023년][공무원 봉급표] 전문경력관 등의 봉급표 (0) | 2023.01.13 |
| [2023년][공무원 봉급표] 일반직공무원과 일반직에 준하는 특정직 별정직 공무원 등의 봉급표 (0) | 2023.01.13 |
| [국방부] 군사적 전문적 지식 및 기술 활용분야 (0) | 2022.12.14 |














